1.017 Supplementary Examples

Stochastic Simulation --Particle Tracking


It is important to know where a domestic supply well draws groundwater from, since this so-called capture zone may need to nbe protected to avoid contamination of drinking water.  One way to approach this problem is to track the paths of hypothetical particles released from locations upstream of the well as they are carried by groundwater moving towards (or past) the well.  This sketch shows typical groundwater velocity vectors in the vicinity of a pumping well.  A portion of the corresponding capture zone is shaded. 

Suppose that the velocity field is given (e.g. it may have been estimated from water level measurements or simulated with a groundwater flow model).  We wish to write a MATLAB program to keep follow a number of particles as they move from left to right.

In this problem we need to consider variability over space as well as time.  This requires the definition of a rectangular spatial grid such as the one shown here.  Velocities are defined at the intersections of the grid lines (or nodes).  The well is located at the origin (x = 0, y = 0).  Particles are released at specified (x, y) coordinates at the initial time (t = 0).  As the particles move through the velocity field their x and y coordinates change.  These coordinates need to be recomputed at each time step.  The particles can be visualized by plotting  their coordinates as discrete points on an (x,y) graph which spans the computational grid.  Particles that leave the grid, either across the sides or through the well, must be removed.  Our objective is to plot the particles in a series of snapshots taken at different times so we can see how they move towards or past the well. 

The problem inputs are the number of grid points and the grid cell size, the number of particles, the initial coordinates of each particle, the time step, and the x and y components of the velocity at each grid node.  The velocities (which are computed within the program) depend on the well location, the well pumping rate, the flow depth, and a specified regional groundwater velocity. Outputs are the velocity components (which may be plotted as vectors with the MATLAB quiver function) and particle coordinates at specified times, which are plotted as an (x, y) scatter plot (using the MATLAB plot function). 

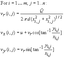
Two types of calculations are required for this problem: 1) calculation of the velocity at each grid node and 2) calculation of the x and y coordinates of each particle at each time.  The velocity at each node is the sum of two components: 1) a regional velocity u, which we assume is a constant pointing in the x direction and 2) the well pumping velocity, which points radially towards the well.  The well pumping velocity component may be derived by applying the principle of mass conservation.  Suppose that the grid is viewed as an array, with i the row (or grid line aligned with the x direction) and j the column (or grid line aligned in the y direction).  The resulting equations for the x and y  velocities at node (i,j) are:

     
where xi,j and yi,j are the x and y coordinates of node (i,j).

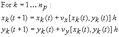
Once the x and y velocities are computed, the coordinates of each particle at the new time (t+1) are related to the coordinates at the old time (t) as follows:

     
where np is the number of particles and h is the time step.  The velocities at the old particle coordinates xk(t) and yk(t) are obtained from the MATLAB grid interpolation function interp2.

Translate the solution into MATLAB code:  The downloadable MATLAB code tracking.m solves the stated problem:

     
    function tracking
    % Program to simulate particle movement in the capture zone of a
    % pumping well
    % Define velocity grid
    nx=15
    ny=15
    u=1.5  % regional groundwater velocity (constant in x direction)
    Q=-20. % well pumping rate
    dx=1.  % x grid spacing
    dy=1.  % y grid spacing
    d=1.   % flow depth
    % define grid-related arrays
    x=dx*[-(nx-1)/2:(nx-1)/2];
    y=dy*[(ny-1)/2:-1:-(ny-1)/2];
    xmin=x(1);
    xmax=x(nx);
    ymax=y(1);
    ymin=y(ny);
    % bigx and bigy define x and y corrdinates respectively, of every % node in grid
    bigx=ones(ny,1)*x;
    bigy=y'*ones(1,nx);
    % compute velocities (from mass balance)
    denom=2*pi*d*sqrt(bigx.^2+bigy.^2); % radial velocity denom.
    zeroflag=(denom==0); % check for divide by zero
    denom(zeroflag)=1.; % set zero elements of denom =1.
    vr=Q./denom;  % compute vr 
    vr(zeroflag)=0.; % reset vr = 0 where denom was originally zero
    vx=u*ones(ny,nx)+vr.*cos(atan2(bigy,bigx));
    vy=vr.*sin(atan2(bigy,bigx));
    % plot velocity field
    close all
    figure
    quiver(bigx,bigy,vx,vy)
    axis([xmin, xmax, ymin, ymax])
    % specify number of paricles and initial locations
    % y locations distributed randomly
    np=100
    yminp=ymin+0.10*(ymax-ymin);
    ymaxp=ymin+0.90*(ymax-ymin);
    xp(1:np)=x(2);
    yp(1:np)=yminp*ones(1,np)+(ymaxp-yminp)*rand(1,np);
    % specify number and size of tracking time steps
    nt=40
    dt=0.5
    % start time loop
    for t=1:nt
       k=1;
       while (k<=np)
       % interpolate velocities from grid to particle locations
          vxint=interp2(bigx,bigy,vx,xp(k),yp(k));
          vyint=interp2(bigx,bigy,vy,xp(k),yp(k));
          % compute nominal new locations
          ytemp=yp(k)+vyint*dt;
          xtemp=xp(k)+vxint*dt;
          % move particles while they remain within grid
          if(((xtemp~=0.)|(ytemp~=0.))&(xtemp>=xmin)&(xtemp<=xmax)...
                &(ytemp>=ymin)&(ytemp<=ymax))
             xp(k)=xtemp;
             yp(k)=ytemp;
          % remove particles that have left domain
          else
             xp(k)=[];
             yp(k)=[];
             np=np-1
          end
          k=k+1;
       end
       % plot particle locations at selected times
       if((t==1)|(mod(t,2)==0))
          figure
          plot(xp,yp,'o')
          axis([xmin, xmax, ymin, ymax])
       else
       end
    end
    return
This program (with its internally specified inputs) produces the following velocity plot.
Here is a typical intermediate-time particle location plot for particles originating from a line of vertical particles released on the left side of the domain :
The easiest way to test this program is to modify the program inputs so that we get a velocity field that moves the particles in obvious ways that easily verified.  For example, we should see all particles moving horizontally in the limt as the well pumping rates goes to zero.in ways thatou can do this yourself by replacing the inflows specified in the file inflow.dat with other values.


Back to 1.017 home | Back to lecture notes
Copyright 2000 Massachusetts Institute of Technology
Last modified Sept 27, 2000