UPDATED NOTES SUPPLEMENT FOR THERMALLY LOADED BONDED JOINTS

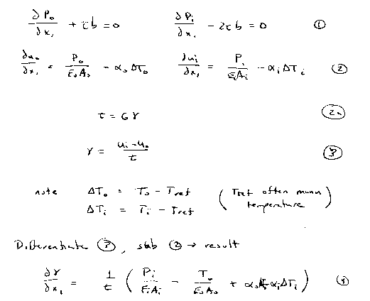
Geometry: