Top | Prev | Next

Placing Poles and Zeroes (pt2: Why?)



More generally, you might see a case where need to worry about instability caused by cranking up the gain, G, too high:
» Fsys=tf([100],[1 100 10000 10000])

Transfer function:

100
-------------------------------
s^3 + 100 s^2 + 10000 s + 10000


Now, let's try to feed back the system (feedback path just '1') with a big gain of "G=50000":

» Tsys=feedback(50000*Fsys,1)


Note that the resulting transfer function of the CLOSED-LOOP system is:
Transfer function:

G*100
-----------------------------------------
s^3 + 100 s^2 + 10000 s + [(G*100)+10000]


As with the example of the previous page:
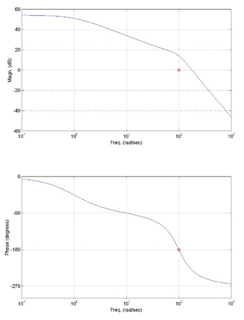
OPEN-LOOP Bode Plot :50000*Gsys


CLOSED-LOOP STEP Response
(unstable, growing oscillations!)

Note in the 'open-loop Bode plot' that the GAIN is ABOVE 0 dB where the PHASE is -180 degrees [marked w/ red dots].
In the next section, we'll see this corresponds to a negative gain margin and indicates we have 'cranked the gain up too high'. (If we made the gain smaller (than our choice of 50000), we would slide the Magnitude plot for our open-loop system straight down on the upper plot, just rescaling the y-axis by some constant offset in decibels -- but the lower plot of PHASE would remain unchanged. Only magnitude would be scaled.)
gonzo@mit.edu 2.010 Tutorial #3, 29-Sep-00