In systems composed of perfect conductors and free space, the
distribution of magnetic field intensity is determined by requiring
that n
B= 0 on the perfectly conducting boundaries.
Although this condition is required to make the electric field
tangential to the perfect conductor vanish, as we saw in Sec. 8.4, it
is not necessary to explicitly refer to E in finding H.
Thus, in Faraday's law of induction, (10.0.3), the right-hand
side is known. The source of curl E is thus known. To
determine the source of div E, further information is required.
If the charge relaxation time is on the same order
as times characterizing the currents carried by the conductors, then
the distribution of unpaired charge is governed by the combination of
Ohm's law, charge conservation, and Gauss' law, as discussed in Sec.
7.7. If the material is not only of uniform conductivity but
of uniform permittivity as well, this charge density is zero in the
volume of the material. It follows from Gauss' law that E is
once again solenoidal in the material volume. Of course, surface
charges may exist at material interfaces.
The electric field intensity is broken into particular and
homogeneous parts
where, in accordance with Faraday's law, (10.0.3), and (1),
and
Our approach is reminiscent of that taken in Chap. 8, where the roles
of E and
B/
t are respectively taken by H and
-J. Indeed, if all else fails, the particular solution can be
generated by using an adaptation of the Biot-Savart law, (8.2.7).
Given a particular solution to (3) and (4), the boundary condition
that there be no tangential E on the surfaces of the perfect
conductors is satisfied by finding a solution to (5) and (6) such
that
on those surfaces.
Given the particular solution, the boundary value problem has been
reduced to one familiar from Chap. 5. To satisfy (5), we let
Eh = - 
. It then follows from (6) that
satisfies Laplace's equation.
Example 10.1.1. Electric Field around a Long Coil
What is the electric field distribution in and
around a typical inductor? An approximate analysis for a coil of many
turns brings out the reason why transformer and generator designers
often speak of the "volts per turn" that must be withstood by
insulation. The analysis illustrates the concept of breaking the
solution into a particular rotational field and a homogeneous
conservative field.
Figure 10.1.1 Side view of long inductor having
radius a and length d.
Consider the idealized coil of Fig. 10.1.1. It is composed of a
thin, perfectly conducting wire, wound in a helix of length
d and radius a. The magnetic field can be found by
approximating the current by a surface current K that is
directed about the z axis of a cylindrical coodinate system
having the z axis coincident with the axis of the coil. For an N-turn
coil, this surface current density is K
= Ni/d. If the coil
is very long, d
a, the magnetic field produced within is
approximately uniform
while that outside is essentially zero (Example 8.2.1). Note that
the surface current density is just that required to terminate
H in accordance with Ampère's continuity condition.
With such a simple magnetic field, a particular solution is easily
obtained. We recognize that the perfectly conducting coil is on
a natural coordinate surface in the cylindrical coordinate system.
Thus, we write the z component of (3) in cylindrical coordinates and
look for a solution to E that is independent of
. The
solution resulting from an integration over r is
Because there is no magnetic field outside the coil, the outside
solution for Ep is irrotational.
If we adhere to the idealization of the wire as an inclined
current sheet, the electric field along the wire in the sheet must be
zero. The particular solution does not satisfy this condition, and so
we now must find an irrotational and solenoidal Eh that
cancels the component of Ep tangential to the wire.
Figure 10.1.2 With the wire from the inductor of
Fig. 10.1.1 stretched into a straight line, it is evident that the
slope of the wire in the inductor is essentially the total length of
the coil, d, divided by the total length of the wire, 2
aN.
A section of the wire is shown in Fig. 10.1.2. What axial field
Ez must be added to that given by (10) to make the net E
perpendicular to the wire? If Ez and E
are to be
components of a vector normal to the wire, then their ratio must be
the same as the ratio of the total length of the wire to the length of
the coil.
Using (9) and (10) at r = a, we have
The homogeneous solution possesses this field Ez on the surface of
the cylinder of radius a and length d. This field determines the
potential
h over the surface (within an arbitrary constant).
Since
2
h = 0 everywhere in space and the tangential
Eh field prescribes
h on the cylinder,
h is uniquely
determined everywhere within an additive constant. Hence, the
conservative part of the field is determined everywhere.
The voltage between the terminals is determined from the line
integral of E
ds between the terminals. The field of
the particular solution is
-directed and gives no contribution.
The entire contribution to the line integral comes from the
homogeneous solution (12) and is
Note that this expression takes the form Ldi/dt, where the inductance
L is in agreement with that found using a contour coincident with the
wire, (8.4.18).
We could think of the terminal voltage as the sum of N
"voltages per turn" Ez d/N. If we admit to the finite size of the
wires, the electric stress between the wires is essentially this
"voltage per turn" divided by the distance between wires.
The next example identifies the particular
and homogeneous solutions in a somewhat more formal fashion.
Example 10.1.2. Electric Field of a One-Turn Solenoid
The cross-section of a one-turn solenoid is shown in Fig. 10.1.3.
It consists of a circular cylindrical conductor having an
inside radius a much less than its length in the z direction. It is
driven by a distributed current source K(t) through the plane parallel
plates to the left. This current enters through the upper sheet
conductor, circulates in the
direction around the one turn, and
leaves through the lower plate. The spacing between these plates is
small compared to a.
Figure 10.1.3 A one-turn solenoid of infinite length
is driven by the distributed source of current density, K(t).
As in the previous example, the field inside the solenoid is
uniform, axial, and equal to the surface current
and a particular solution can be found by applying Faraday's integral
law to a contour having the arbitrary radius r < a, (10).
This field clearly does not satisfy the boundary condition at r =
a, where it has a
tangential value over almost all of the surface. The homogeneous
solution must have a tangential component that cancels this one.
However, this field must also be conservative, so its integral around
the circumference at r = a must be zero. Thus, the plot of the
component of the homogeneous solution at r = a, shown in Fig.
10.1.4, has no average value. The amplitude of the tall rectangle is
adjusted so that the net area under the two functions is zero.
The field between the edges of the input electrodes is
approximated as being uniform right out to the contacts with the
solenoid.
Figure 10.1.4 Tangential component of homogeneous
electric field at r = a in the configuration of Fig. 10.1.3.
We now find a solution to Laplace's equation that matches this
boundary condition on the tangential component of E. Because
E
is an even function of
,
is taken as an odd
function. The origin is included in the region of interest, so
the polar coordinate solutions (Table 5.7.1) take the form
It follows that
The coefficients An are evaluated, as in Sec. 5.5, by multiplying
both sides of this expression by cos (m
) and integrating from
= -
to
=
.
Thus, the coefficients needed to evaluate the potential of (17) are
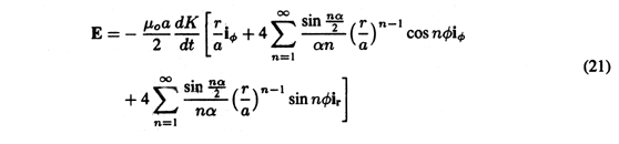
Finally, the desired field intensity is the sum of the particular
solution, (15), and the homogeneous solution, the gradient of
(17).
Figure 10.1.5 Graphical representation of solution
for the electric field in the configuration of Fig. 10.1.3.
The superposition of fields represented in this solution is shown
graphically in Fig. 10.1.5. A conservative field is added to the
rotational field. The former has a potential at r = a that is a
linearly increasing function of
between
the input electrodes, increasing from a negative value at the lower
electrode at
= -
/2, passing through zero at the
midplane, and reaching an equal positive value at the upper electrode
at
=
/2. The potential decreases in a
linear fashion from this high as
is increased, again passing
through zero at
= 180 degrees, and reaching the negative value
upon returning to the lower input electrode. Equipotential lines
therefore join points on the solenoid periphery with points at the same
potential between the input electrodes. Note that the electric field
associated with this potential indeed has the tangential component
required to cancel that from the rotational part of the field, the
proof of this being in the last of the plots.
Often the vector potential provides conveniently a particular
solution. With B replaced by
x A,
Suppose A has been determined. Then the quantity in parantheses
must be equal to the gradient of a potential
so that
In the examples treated, the first term in this expression is the
particular solution, while the second is the homogeneous solution.