This and the next section are concerned with the influence of
thin-sheet conductors of finite conductivity on distributions of
magnetic field. The demonstration of the previous section is typical
of physical situations of interest. By virtue of Faraday's law, an
applied field induces currents in the conducting sheet. Through
Ampère's law, these in turn result in an induced field tending to
buck out the imposed field. The resulting field has a time
dependence reflecting not only that of the applied field but the
conductivity and dimensions of the conductor as well. This is the
subject of the next two sections.
Figure 10.3.1 A thin shell having conductivity
and thickness
has the shape of a cylinder of arbitrary
cross-section. The surface current density K(t) circulates in the
shell in a direction perpendicular to the magnetic field, which is
parallel to the cylinder axis.
A class of configurations with remarkably simple fields
involves one or more sheet conductors in the shape of cylinders
of infinite length. As illustrated in Fig. 10.3.1, these are uniform
in the z direction but have an arbitrary cross-sectional geometry. In
this section, the fields are z directed and the currents circulate
around the z axis through the thin sheet. Fields and currents are
pictured as independent of z.
The current density J is divergence free. If we picture the
current density as flowing in planes perpendicular to the z axis,
and as essentially uniform over the thickness
of the sheet, then
the surface current density must be independent of the azimuthal
position in the sheet.
Ampère's continuity condition, (9.5.3), requires that the
adjacent axial fields are related to this surface current density by
In a system with a single cylinder, with a given
circulating surface current density K and insulating materials of
uniform properties both outside (a) and inside (b), a uniform axial
field inside and no field outside is the exact solution to
Ampère's law and the flux continuity condition. (We saw this in
Demonstration 8.2.1 and in Example 8.4.2. for a solenoid of
circular cross-section.) In a system consisting of nested
cylinders, each having an arbitrary cross-sectional geometry and each
carrying its own surface current density, the magnetic fields between
cylinders would be uniform. Then (2) would relate the uniform
fields to either side of any given sheet.
In general, K is not known. To relate it to the axial field, we
must introduce the laws of Ohm and Faraday. The fact that K is
uniform makes it possible to exploit the integral form of the latter
law, applied to a contour C that circulates through the cylinder.
To replace E in this expression, we multiply J =
E by
the thickness
to relate the surface current density to E, the
magnitude of E inside the sheet.
If
and
are uniform, then E (like K), is the same
everywhere along the sheet. However, either the thickness or the
conductivity could be functions of azimuthal position. If
and
are given, the integral on the left in (3) can be taken, since
K is constant. With s denoting the distance along the contour C, (3)
and (4) become
Of most interest is the case where the thickness and conductivity are
uniform and (5) becomes
with P denoting the peripheral length of the cylinder.
The following are examples based on this model.
Example 10.3.1. Diffusion of Axial Field into a Circular Tube
The conducting sheet shown in Fig. 10.3.2 has the shape of a long
pipe with a wall of uniform thickness and conductivity. There is a
uniform magnetic field H = iz Ho (t) in the space outside
the tube, perhaps imposed by means of a coaxial solenoid. What
current density circulates in the conductor and what is the axial
field intensity Hi inside?
Figure 10.3.2 Circular
cylindrical conducting shell with external axial field intensity
Ho(t) imposed. The response to a step in applied field is a
current density that initially shields the field from the inner
region. As this current decays, the field penetrates into the
interior and is finally uniform throughout.
Representing Ohm's law and Faraday's law of induction, (6)
becomes
Ampère's law, represented by the continuity condition, (2), requires that
In these two expressions, Ho is a given driving field, so they
can be combined into a single differential equation for either K or
Hi. Choosing the latter, we obtain
where
This expression pertains regardless of the driving field.
In particular, suppose that before t = 0, the fields and surface current
are zero, and that when t = 0, the outside Ho is suddenly turned
on. The appropriate solution to (9) is the combination
of the particular solution Hi = Ho and the homogeneous solution
exp (-t/
m) that satisfies the initial condition.
It follows from (8) that the associated surface current density is
At a given instant, the axial field has the radial distribution
shown in Fig. 10.3.2b. Outside, the field is imposed to be equal to
Ho, while inside it is at first zero but then fills in with an
exponential dependence on time. After a time that is long compared
to
m, the field is uniform throughout. Implied by the
discontinuity in field intensity at r = a is a surface current
density that initially terminates the outside field. When t = 0,
K = -Ho, and this results in a field that bucks out the field
imposed on the inside region. The decay of this current, expressed
by (12), accounts for the penetration of the field into the interior
region.
This example illustrates what one means by "perfect conductor
approximation." A perfect conductor would shield out the magnetic
field forever. A physical conductor shields it out for times t
m. Thus, in the MQS approximation, a conductor can be
treated as perfect for times that are short compared with the
characteristic time
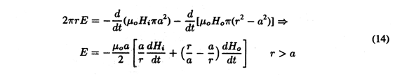
m. The electric field E
E
is given by applying (3) to a contour having an arbitrary radius r.
At r = a, this particular solution matches that already found using
the same integral law in the conductor. In this simple case, it is
not necessary to match boundary conditions by superimposing a
homogeneous solution taking the form of a conservative field.
We consider next an example where the electric field is not
simply the particular solution.
Example 10.3.2. Diffusion into Tube of Nonuniform Conductivity
Once again, consider the circular cylindrical shell of Fig.
10.3.2 subject to an imposed axial field Ho(t). However, now the
conductivity is a function of azimuthal position.
The integral in (5), resulting from Faraday's law, becomes
and hence
Ampère's continuity condition, (2), once again becomes
Thus, Hi is determined by the same expressions as in the previous
example, except that
is replaced by
o. The surface current
response to a step in imposed field is again the exponential
of (12).
It is the electric field distribution that is changed. Using (15),
(4) gives
for the electric field inside the conductor. The E field in the
adjacent free space regions is found using the familiar approach of
Sec. 10.1. The particular solution is the same as for the uniformly
conducting shell, (13) and (14). To this we add a homogeneous
solution Eh = -
such that the sum matches the
tangential field given by (19) at r = a. The
-independent part
of (19) is already matched by the particular solution, and so the
boundary condition on the homogeneous part requires that
Solutions to Laplace's equation that vary as sin (
)
match this condition. Outside, the appropriate r dependence is 1/r
while inside it is r. With the coefficients of these potentials
adjusted to match the boundary condition given by (20), it follows
that the electric field outside and inside the shell is
where
These expressions can be evaluated using (11) and (12) for
Hi and K for the electric field associated with a step in
applied field. It follows that E, like the surface current and the
induced H, decays exponentially with the time constant of (10).
At a given instant, the distribution of E is as illustrated in
Fig. 10.3.3. The total solution is the sum of the particular
rotational and homogeneous conservative parts. The degree to which
the latter influences the total field depends on
, which reflects
the inhomogeneity in conductivity.
Figure 10.3.3 Electric field induced in regions
inside and outside shell (having conductivity that varies with
azimuthal position) portrayed as the sum of a particular rotational and
homogeneous conservative solution. Conductivity is low on the right and
high on the left,
= 0.5.
For positive
, the conductivity is low on the right (when
= 0) and high
on the left in Fig. 10.3.3. In accordance with (7.2.8), positive
unpaired charge is induced in the transition region where the current
flows from high to low conductivity, and negative charge is induced in
the transition region from low to high conductivity. The field of the
homogeneous solution shown in the figure originates and terminates on
the induced charges.
We shall return to models based on conducting cylindrical shells
in axial fields. Systems of conducting shells can be used to
represent the nonuniform flow of current in thick conductors. The
model will also be found useful in determining the rate of induction
heating for cylindrical objects.