6.034 Artificial Intelligence - Recitations, fall 2004 online slides on learning

Next: Function Learned by MNN Previous: A Perceptron Performs Gradient

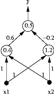
Multilayer Neural Networks

1 input layer (2 units), 1 hidden layer (2 units), 1 output layer (1 unit)

Like before, output is a function of the weighted input to the node.