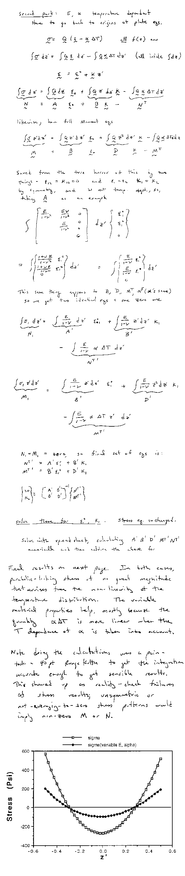
HIT THIS LINK TO SEE PROBLEM 3