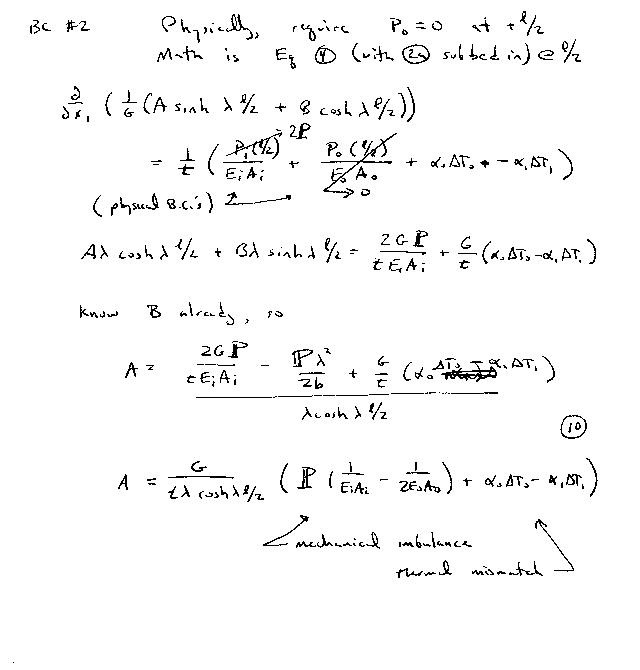
UPDATED NOTES SUPPLEMENT FOR THERMALLY LOADED BONDED JOINTS

Geometry: