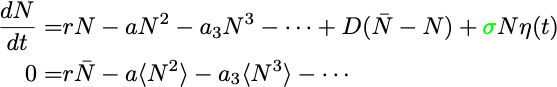
Extinction on a seascape
For a given growth equation, the value of
can be computed by averaging the evolution equation in steady state:

Given the power-law form of the steady state distribution, with small and large cutoffs, we observe


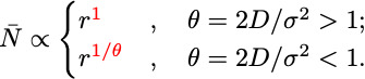
Two universality classes for extinction, as the reproduction rate approaches zero:



In both cases, the exponent is independent of the (analytical) form of the growth law (be it for different reasons).