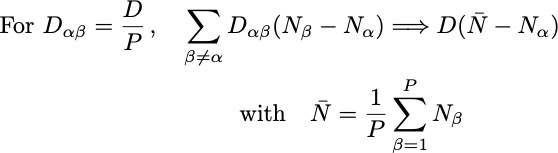
Mean Field Approach
A discrete fitness landscape over a large number of equivalent sites (the complete graph), enables a self-consistent (mean-field) approach.

![]()
![]()
While
are random variables (distributions), in the large
limit
is a number, leading to

The probability distribution function for
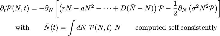
then evolve according to the Fokker-Planck equation

[Van den Broeck+Parrondo+Amero+Hernandez-Machado (1994); ....]
[J.-P. Bouchaud & M. Mezard, Physica A 282, 535 (2000)] [Munoz, Colaiori, Castellano, PRE 72, 056102 (2005)]
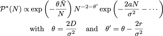
Setting the time dependence to zero, leads to the (unnormalized) steady state distribution [PRE 102, 052106 (2020)]
_propt.jpeg)

Power law distribution (consequence of multiplicative noise) with
small size cutoff set by dispersal and mean number, and
large size cutoff set by saturating terms.