Competitive growth morphologies
Competing variants would generically expand at different rates.
The bulging circular arc is a common morphology for growth of a fitter mutant:

"Selective sweeps in growing microbial colonies," Korolev, Muller, Karahan, Murray, Halatschek, Nelson, Phys. Biol 9, 026008 (2012)
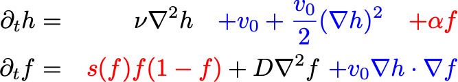
Possible morphologies can be explored by coupling expansion profile (KPZ) and invasion (FKPP) equations (neglecting noise):

Ignoring invasion front shape, one possible geometry is a Circular Arc:
![]()
Another morphology is a Composite Bulge joining the flat front at a fixed slope:

Positive slopes occur for slower mutant growth, leading to V-shaped Dents:
This is somewhat surprising, as slower growth of isolated colonies suggests that they would lose out in competition.
However, such a V-shaped dent, with take-over of a slower growing mutant was observed recently:


"Slow expanders invade by forming dented fronts in microbial colonies," Hyunseok Lee, J. Gore and K.S. Korolev, PNAS 119, e2108653119..
Phase diagram of possible growth morphologies:
Fixed selective advantage (pulled wavefront)
Allee effect and pushed wave fronts:
"Interplay between morphology and competition in two-dimensional colony expansion,"
Daniel Swartz, Hyunseok Lee, Kardar & Korolev, PRE 108, L032301 (2023). (off-line)