Boundary asymmetry and curvature
Net force on an isolated box (note the absence of momentum conservation)?
vs.
No boundary torque (zero net force) vs. Boundary torque (net force)
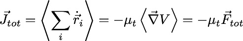
In the absence of external torques, a net force is constrained as averaging active particle equations of motion gives:


For a closed box the total force and current will both be zero independent of wall potential, suggesting an equation of state.
However, there remain important consequences of activity even in the absence of wall-induced reorientation:
Wall shape and curvature:
N. Nikola, A.P. Solon, Y. Kafri, M. Kardar, J. Tailleur, R. Voituriez, Phys. Rev. Lett. 117, 098001 (2016);
Tangential Ratchet force: Asymmetric walls support a current and net tangential force:
(Another macroscopic consequence of the absence of time reversibility at microscopic scale.)
Random motions of bacteria: (R. Di Leonardo, et al PNAS 2010)
Normal force variations for sinusoidal wall:
(Density along and into the wall is non-uniform, depending on curvature as well as potential)
![]()
![]()
Variation of pressure with curvature is reminiscent of Laplace's law, implying an activity-induced line (surface) tension: