Phase separation and disorder
Interacting active particles (with or without attraction) can undergo Motility Induced Phase separation (MIPS):
What happens to this phase transition if active particles move on a random (short-range correlated, bounded) landscape?
Sunghan Ro, Y. Kafri, M. Kardar, J. Tailleur, Phys. Rev. Lett. 126, 048003 (2021)
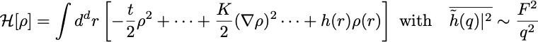
Analogy: For non-interacting active particles, density variations are similar to those expected for an equilibrium system
in response to a spatially varying potential (magnetic field) with long-range correlations:
We may inquire of the effects of a similar "random field" on phase transition of an equilibrium system:
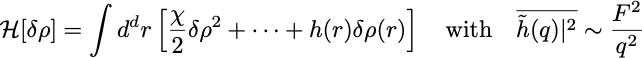
Imry-Ma: Consider stability of an ordered domain of size R to flip to the oppositely ordered state;

Can the cost of surface tension be made up by a fortuitous gain in random field energy?
The ordered phase is unstable to random field induced flips of large enough domains for
The absence of MIPS with disorder is supported by simulations:
Turning on bulk disorder in a phase separated state: 
Turning off bulk disorder: