Burt Rutan's White Knight and SpaceShip One, Photo Courtesy of Scaled Composites
Thermodynamics and Propulsion


13.5 Climbing Flight

Any excess in power beyond that required to overcome drag will cause the vehicle increase kinetic or potential energy. We consider this case by resolving forces about the direction of flight, Figure 13.6, and equating these with accelerations.

Figure 13.6: Force balance for an aircraft in climbing flight.
Image fig4ACClimbingFlight_web

$\displaystyle L - W\cos\theta$ $\displaystyle = \frac{W}{g}V\frac{d\theta}{dt},$    
$\displaystyle T - D -W\sin\theta$ $\displaystyle = \frac{W}{g}V\frac{dV}{dt},$    

where $ V d\theta/dt$ is the acceleration normal to the flight path and $ dV/dt$ is the acceleration tangent to the flight path. So the change in height of the vehicle (the rate of climb, $ \textrm{R/C}$ ) is

$\displaystyle \textrm{R/C} = \frac{dh}{dt} = V\sin\theta = V\left(\frac{T-D}{W}\right) - \frac{V}{g}\frac{dV}{dt},$    

which is instructive to rewrite in the form

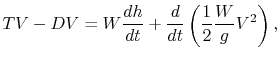
$\displaystyle TV - DV = W \frac{dh}{dt} + \frac{d}{dt}\left(\frac{1}{2}\frac{W}{g}V^2\right),$    

or

$\displaystyle P_{\textrm{available}} - P_{\textrm{required}} = W \frac{dh}{dt} + \frac{d}{dt}\left(\frac{1}{2}\frac{W}{g}V^2\right).$    

In words:

$\displaystyle \textrm{excess power} = \textrm{change in potential energy} + \textrm{change in kinetic energy}.$    

For steady climbing flight,

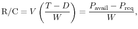
$\displaystyle \textrm{R/C} = V\left(\frac{T - D}{W}\right)=\frac{P_{\textrm{avail}}-P_{\textrm{req}}}{W},$    

and the time-to-climb is

$\displaystyle t = \int_{h_1}^{h_2} \frac{dh}{\textrm{R/C}},$    

where $ P_{\textrm{available}} = \eta_{\textrm{prop}}
P_{\textrm{shaft}}$ , for example, and $ P_{\textrm{required}} = DV$ . The power available is a function of the propulsion system, the flight velocity, altitude, etc. Typically it takes a form such as that shown in Figure 13.7. The shortest time-to-climb occurs at the flight velocity where $ P_{\textrm{avail}} - P_{\textrm{req}}$ is a maximum. We conclude this section with a dramatic photograph of an F-16 in a vertical, accelerated climb, Figure 13.8.

Figure 13.7: Typical behavior of power available as a function of flight velocity.
Image fig4PowerAvailable_web

Figure 13.8: Lockheed Martin F-16 performing a vertical accelerated climb.
Image fig4LockheedF16_web

UnifiedTP