Burt Rutan's White Knight and SpaceShip One, Photo Courtesy of Scaled Composites
Thermodynamics and Propulsion

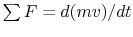
10.1 An Expression of Newton's 2nd Law (e.g. $ \sum F
= d(mv)/dt $ )

Consider two coordinate systems:

  1. Inertial (labeled with subscript $ I$ in Figure 10.1),
  2. Fixed to vehicle (labeled with subscript $ V$ in Figure 10.1)
    • Moves with velocity $ \vec{u}_0$ relative to the inertial coordinate system.
    • All velocities relative to the vehicle-fixed coordinate frame are denoted $ \vec{u}$ .

Figure 10.1: Two inertial coordinate systems, one stationary, one translating
Image fig2CoordinateSystems_web

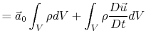
Newton's second law for a control volume of fixed mass can be written as

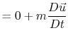
$\displaystyle \sum \vec{F}=\int_V \rho \frac{D(\vec{u}_0+\vec{u})}{Dt}dV$    

or

$\displaystyle \underbrace{\sum\vec{F}}_{\textrm{all external forces on C.V.}} =...
...nt_V \rho \frac{D\vec{u}}{Dt}dV}_{\textrm{change in momentum of mass in C.V.}},$    

where the external forces acting on the control volume may be pressures forces, shear forces (skin friction), and body forces.

To explain the above equation further, consider Figure 10.2.

Figure 10.2: Falling blocks
Image fig2FallingBlocks_web

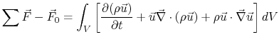
The falling block labeled (a) has a control volume fixed to it. In this case, the first term of the above equation is nonzero since the control volume is accelerating relative to an inertial reference frame. The second term is zero because the block is not accelerating relative to a coordinate system fixed to the control volume. The opposite is true for the falling block labeled (b), which is falling within a fixed control volume. The first term of the above equation is zero in this case because the control volume is not accelerating relative to an inertial reference frame. The second term is nonzero because the block is moving to a coordinate system fixed to the control volume. The mathematical result of both cases is as follows:

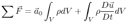
$\displaystyle \sum \vec{F} = \vec{a}_0 \int_V \rho dV + \int_V \rho \frac{D\vec{u}}{Dt}dV$    

  1. $\displaystyle \sum\vec{F}$ $\displaystyle = m\vec{a}_0 + 0$    
      $\displaystyle = m\vec{a}$    
      $\displaystyle =\vec{a}_0\int_V\rho dV + \int_V \rho \frac{D\vec{u}}{Dt}dV$    

  2. $\displaystyle \sum\vec{F}$ $\displaystyle = 0 + m \frac{D\vec{u}}{Dt}$    
      $\displaystyle = m\vec{a}$    

As expected, the result is the same for both. The integral momentum equation reduces to a familiar form, $ \vec{F}
= m\vec{a}$ . To continue, the integral momentum equation can be rewritten as follows,

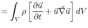
$\displaystyle \sum \vec{F} - \vec{F}_0$ $\displaystyle = \int_V \rho\left[\frac{\partial\vec{u}}{\partial t} + \vec{u}\vec{\nabla}\vec{u}\right]dV$    
  $\displaystyle =\int_V\left[\rho\frac{\partial \vec{u}}{\partial t} + \vec{u}\fr...
...u}\frac{\partial \rho}{\partial t}+\rho\vec{u}\cdot\vec{\nabla}\vec{u}\right]dV$    
  $\displaystyle =\int_V\left[\frac{\partial(\rho \vec{u})}{\partial t} -\vec{u}\frac{\partial \rho}{\partial t}+\rho\vec{u}\cdot\vec{\nabla}\vec{u}\right]dV.$    

From conservation of mass,

$\displaystyle \frac{\partial \rho}{\partial t} + \vec{\nabla}(\rho \vec{u})=0\q...
...ec{u}\frac{\partial \rho}{\partial t} +\vec{u}\vec{\nabla}\cdot(\rho \vec{u})=0$    

so

$\displaystyle \sum\vec{F}-\vec{F}_0=\int_V\left[\frac{\partial(\rho\vec{u})}{\p...
...c{u}\vec{\nabla}\cdot(\rho\vec{u})+\rho\vec{u}\cdot\vec{\nabla}\vec{u}\right]dV$    

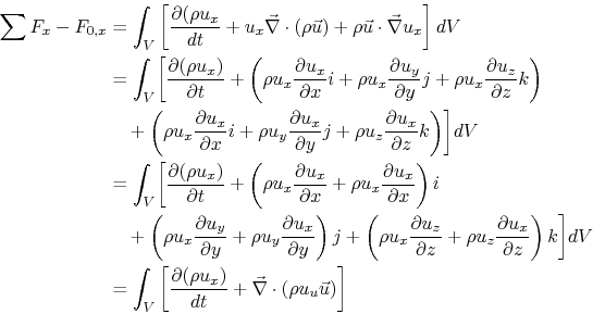
Note that this is a vector equation. Considering only the components in the $ x$ -direction

\begin{displaymath}\begin{split}\sum F_x-F_{0,x} &= \int_V\left[\frac{\partial(\...
...x)}{d t}+\vec{\nabla}\cdot(\rho u_u \vec{u})\right] \end{split}\end{displaymath}    

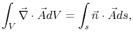
Then, by the divergence theorem,

$\displaystyle \int_V\vec{\nabla}\cdot\vec{A}dV = \int_s \vec{n}\cdot \vec{A}ds,$    

where $ \vec{n}$ is outward unit normal vector. We thus have

$\displaystyle \underbrace{\sum F_x - F_{0,x}}_{\substack{\textrm{sum of forces}...
...\substack{\textrm{change in momentum} \textrm{flux across surface of C.V.}}},$    

where again the forces acting on the control volume may be composed of pressure forces, body forces, and skin friction.

For steady flow, with no acceleration of the vehicle then

$\displaystyle \sum F_x = \int_x u_x \rho\vec{u} \cdot \vec{n} ds.$    

This is the form we will use most frequently in this class.

UnifiedTP