Burt Rutan's White Knight and SpaceShip One, Photo Courtesy of Scaled Composites
Thermodynamics and Propulsion


11.2 Thermal and Propulsive Efficiency

It is often convenient to break the overall efficiency into two parts: thermal efficiency and propulsive efficiency, where

$\displaystyle \eta_{\textrm{thermal}}$ $\displaystyle = \frac{\textrm{rate of production of kinetic energy}}{\textrm{fu...
...left(\cfrac{\dot{m}_e u_e^2}{2}-\cfrac{\dot{m}_0 u_0^2}{2}\right)}{\dot{m}_f h}$    
$\displaystyle \eta_{\textrm{propulsive}}$ $\displaystyle =\frac{\textrm{propulsive power}}{\textrm{rate of production of p...
...frac{T u_0}{\left(\cfrac{\dot{m}_e u_e^2}{2}-\cfrac{\dot{m}_0 u_0^2}{2}\right)}$    

such that


$\displaystyle \eta_{\textrm{overall}}$ $\displaystyle = \eta_{\textrm{thermal}} \eta_{\textrm{propulsive}}$    

The thermal efficiency in this expression is the same as that which we used extensively in Part I. For an ideal Brayton cycle it is a function of the temperature ratio across the compressor,

$\displaystyle \eta_{\textrm{thermal, ideal Brayton cycle}} = \frac{W_{\textrm{net}}}{Q_{\textrm{in}}} = 1 -\frac{T_1}{T_2}$    

Note that we can use our expression for thrust to rewrite the equation for propulsive efficiency in a more convenient form,

$\displaystyle T \approx \dot{m}(u_e - u_0) \qquad \textrm{since $\dot{m}_e \approx \dot{m}_0 \approx \dot{m}$}$    

then

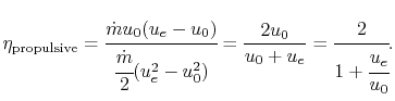
$\displaystyle \eta_{\textrm{propulsive}} = \cfrac{\dot{m} u_0 (u_e-u_0)}{\cfrac...
...m}}{2}(u_e^2-u_0^2)} = \frac{2 u_0}{u_0 + u_e} = \cfrac{2}{1+\cfrac{u_e}{u_0}}.$    

UnifiedTP