2 Appendix: Line and Surface Integrals and Proof that Curl Results in a Vector
Line Integrals
Consider a path connecting points (a)
and (b) as shown in Fig. A.2.1. Assume that a vector field
A(r) exists
in the space in which the path is situated. Then the line integral
of A(r) is defined by
To interpret (1), think of the path between (a)
and (b) as subdivided into differential vector segments ds. At every
vector segment, the vector A(r) is evaluated and the dot product is
formed. The line integral is then defined as the sum of these
dot products in the limit as ds approaches zero. A line integral over
a path that closes on itself is denoted by the symbol A
ds.
Figure A.2.1 Configuration for integration of vector field A along line having differential length ds between points (a) and (b).
To perform a line integration, the integral must first be reduced
to a form that can be evaluated using the rules of integral calculus.
This is done with the aid of a coordinate system. The following
example illustrates this process.
Example 2.1.1. Line Integral
Given the two-dimensional vector field
find the line integral along a quarter circle of radius R as shown
in Fig. A.2.2.
Figure A.2.2 Integration line having shape of quarter segment of a circle with radius R and differential element ds.
Using a Cartesian coordinate system, the differential line
segment ds has the components dx and dy.
Now x and y are not independent but are constrained by the fact
that the integration path follows a circle defined by the equation
Differentiation of (4) gives
and therefore
Thus, the dot product A ds can be written as a
function of the variable x alone.
When the path is described in the sense shown in Fig. A.2.4, x
decreases from R to zero. Therefore,
If the path is not expressible in terms of an analytic function, the
evaluation of the line integral becomes difficult. If everything else
fails, numerical methods can be employed.
Surface Integrals
Given a vector field A(r) in a region of space
containing a specified (open or closed) surface S, an important
form of the surface integral of A over S is
The vector da has a magnitude that represents the differential area
of a surface element and a direction that is normal to that area.
To interpret (9), think of the surface S as subdivided into these
differential area elements da. At each area element, the differential
scalar A da is evaluated and the surface integral is
defined as the
sum of these dot products over S in the limit as da approaches
zero. The surface integral S A da is also
called the ``flux" of the vector A through the surface S.
To evaluate a surface integral, a coordinate system is introduced in
which the integration can be performed according to the methods of
integral calculus. Then the surface integral is transformed into a double
integral in two independent variables. This is best illustrated with the aid
of a specific example.
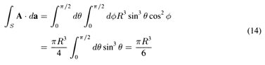
Example 2.2.2. Surface Integral
Given the vector field
find the surface integral \intS A da, where S is
one eighth of a spherical surface of radius R in the first octant
of a sphere (0 \leq /2, 0 \leq \leq
/2).
Because the surface lies on a sphere, it is best to carry out
the integration in spherical coordinates. To transform coordinates
from Cartesian to spherical, recall from (A.1.3) that the x
coordinate is related to r, , and by
and from (A.1.6), the unit vector ix is
Therefore, because the area element da is
the surface integral becomes
A surface integral of a vector A over a closed surface is
indicated by
Note also that we use a single integral sign for a surface integral,
even though, in fact, two integrations are involved when the integral is
actually evaluated in terms of a coordinate system.
2.2 Proof that the Curl Operation Results in aVector
The definition
assigns a scalar, [curl A]n, to each direction n at the
point P under consideration. The limit must be independent of the
shape of the contour C (as long as all its points approach the
point P in the limit as the area a of the contour goes to zero).
The identification of curl A as a
vector also implies a
proper dependence of this limit upon the orientation of the normal n
of a. The purpose of this appendix is to show that these two requirements
are indeed satisfied by (1). We shall prove the following facts:
by its normal vector n, the quantity on the right in (1) is independent
of the shape of the contour. (The notation [curl A]n, is
introduced at this stage only as a convenient abbreviation for the
expression on the right.)
\item 2. If [curl A]n is indeed the component of a vector
[curl A] in the n direction and n is a unit normal in
the n direction, then
where [curl A] is a vector defined at the point (x, y, z).
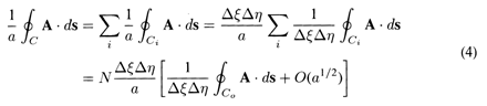
The proof of (1) follows from the fact that any closed contour integral
can be built up from a superposition of contour integrals around a
large number of rectangular contours Ci, as shown in Fig. A.2.3.
All rectangles have sides  , \Delta . If the
entire contour containing the rectangles is small (a
0), then the contour integral around each rectangle differs from
that for the contour Co at the origin only by a term on the order
of the linear dimension of the contour, a1/2, times the area
 . This is true provided that the distance from the origin
to any point on the contour does not exceed a1/2 by an order of
magnitude and that A is once differentiable in the neighborhood
of the origin. We have
Figure A.2.3 Separation of closed contour integral into large number of integrals over rectangular contours.
Therefore,
where N is the number of rectangles into which the contour C has
been subdivided. However, N = a/(  ), and therefore we find
The expression on the left refers to the original contour, while the
expression on the right refers to the rectangular contour at the origin.
Since a contour of arbitrary shape can be constructed by a proper arrangement
of rectangular contours, we have proven that the expression
\lima 0 \int A ds /a is independent of
the shape of the contour as long as (3) holds.
Turning to the proof that (1) defines the component of a vector, we
recognize that the shape of the contour is arbitrary when evaluating
\int A ds /a. We displace the plane in which the contour
lies by a differential amount away from the point P(x, y, z),
as shown in Fig. A.2.4 which does not affect the value of [curl
A]n as defined in (1). The intersection of the plane with the
three coordinate planes through P is a triangle. We pick the
triangle for the contour C in (1).
Figure A.2.4 Arbitrary incremental contour integral having normal n analyzed into integration contours enclosing surface, having normals in the directions of the Cartesian coordinates.
It follows from Fig. A.2.4 that the contour integral around the
triangular contour in the plane perpendicular to n can also be
written as the sum of three integrals around the three triangular
contours in the respective coordinate planes. Indeed, each of the
added sections of line are traversed in one contour integration in
the opposite direction, so that the integrals over the added sections
of the line cancel upon summation and we have
where each contour integral is denoted by the subscript taken from
the unit vector normal to the plane of the contour.
We further note that the areas ax, ay, az of the three
triangles in the respective coordinate planes are the projections of
the area a onto the corresponding coordinate plane.
Thus, by dividing (6) by a and making use of (7), (8), and (9), we have:
Now, since the contours are already taken around differential area elements,
the limit a 0 is already implied in (10). Thus, we have
the quantities
But (10) is the definition of the component in the n
direction of a vector:
It is therefore legitimate to define at every point x, y, z in
space a vector quantity, curl A, whose x-, y-, and
z-components are evaluated as the limiting expressions of (1).
|