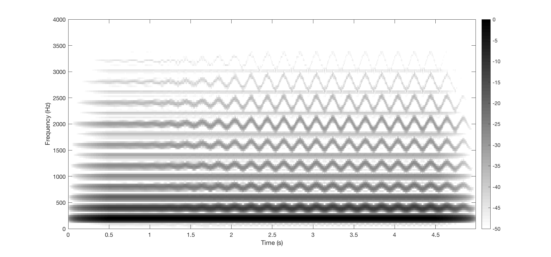
This sound is called the Reynolds-McAdams oboe. Click the picture to play the corresponding audio.
Onset asynchrony demo
This sound was designed by Roger Reynolds and Steven McAdams, and synthesized by Dan Ellis.