Burt Rutan's White Knight and SpaceShip One, Photo Courtesy of Scaled Composites
Thermodynamics and Propulsion


14.1 Thrust and Specific Impulse for Rockets

Previously we used the steady flow energy equation to relate the exhaust velocity of a rocket motor, Figure 14.1, to the conditions in the combustion chamber and the exit pressure.

Figure 14.1: Schematic of rocket nozzle and combustion chamber
Image fig5RocketSchematic_web

The steady flow energy equation

$\displaystyle q_{\textrm{1-2}} - W_{\textrm{s,1-2}} = h_{T2} - h_{T1},$    

then with no heat transfer or shaft work,

$\displaystyle h_{T2} = h_{T1} \quad \textrm{or} \quad h_{Tc} = h_{Te}$    

which can be written as

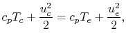
$\displaystyle c_p T_c + \frac{u_c^2}{2} = c_p T_e + \frac{u_e^2}{2},$    

and manipulated to obtain

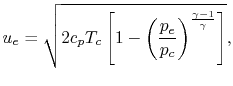
$\displaystyle u_e = \sqrt{2c_p T_c\left[1-\left(\frac{p_e}{p_c}\right)^{\frac{\gamma-1}{\gamma}}\right]},$    

using

$\displaystyle \frac{T_e}{T_c} = \left(\frac{P_e}{P_c}\right)^{\frac{\gamma-1}{\gamma}}.$    

Then considering the relationship we derived for thrust,

$\displaystyle F = \dot{m} u_e + A_e (p_e - p_0),$    

and assuming $ p_e = p_0 = 0$ , then

$\displaystyle u_e = \sqrt{2c_pT_c},$    

$\displaystyle F = \dot{m} u_e,$    

and

$\displaystyle \textrm{Isp} = \frac{F}{\dot{W}}=\frac{\textrm{thrust}}{\textrm{fuel weight flow rate}}.$    

Rearranging,

$\displaystyle \dot{m}u_e = \dot{W} \textrm{Isp}.$    

Thus the specific impulse can be directly related to the exhaust velocity leaving the rocket,

$\displaystyle \textrm{Isp} = \frac{u_e}{g}.$    

UnifiedTP