Burt Rutan's White Knight and SpaceShip One, Photo Courtesy of Scaled Composites
Thermodynamics and Propulsion


17.1 The Reynolds Analogy

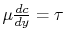
We describe the physical mechanism for the heat transfer coefficient in a turbulent boundary layer because most aerospace vehicle applications have turbulent boundary layers. The treatment closely follows that in Eckert and Drake (1959). Very near the wall, the fluid motion is smooth and laminar, and molecular conduction and shear are important. The shear stress, $ \tau$ , at a plane is given by $ \mu
\frac{dc}{dy} =\tau$ (where $ \mu$ is the dynamic viscosity), and the heat flux by $ \dot{q}=- k\frac{dT}{dy}$ . The latter is the same expression that was used for a solid. The boundary layer is a region in which the velocity is lower than the free stream as shown in Figures 17.2 and 17.3. In a turbulent boundary layer, the dominant mechanisms of shear stress and heat transfer change in nature as one moves away from the wall.

Figure 17.3: Velocity profile near a surface
Image fig9VelocityProfileNearSurface_web

As one moves away from the wall (but still in the boundary layer), the flow is turbulent. The fluid particles move in random directions and the transfer of momentum and energy is mainly through interchange of fluid particles, shown schematically in Figure 17.4.

Figure 17.4: Momentum and energy exchanges in turbulent flow
Image fig9TurbulentMomentumEnergyExchange_web

With reference to Figure 17.4, because of the turbulent velocity field, a fluid mass $ m'$ penetrates the plane $ aa$ per unit time and unit area. In steady flow, the same amount crosses $ aa$ from the other side. Fluid moving up transports heat $ m'c_p T$ . Fluid moving down transports $ m'c_p
T'$ downwards. If $ T' > T$ , there is a turbulent downwards heat flow $ \dot{q}_\textrm{turbulent}$ , given by $ \dot{q}_\textrm{turbulent} =
m' c_p (T'-T)$ , that results.

Fluid moving up also has momentum $ m'c$ and fluid moving down has momentum $ m'c'$ . The net flux of momentum down per unit area and time is therefore $ m'(c'- c)$ . This net flux of momentum per unit area and time is a force per unit area or stress, given by

$\displaystyle \tau_\textrm{turbulent} = m'(c'- c).$ (17..3)

Based on these considerations, the relation between heat flux and shear stress at plane $ aa$ is

$\displaystyle \dot{q}_\textrm{turbulent} = \tau_\textrm{turbulent} c_p \left(\frac{T'-T}{c'-c}\right),$ (17..4)

or (again approximately)

$\displaystyle \dot{q}_\textrm{turbulent} = -\tau_\textrm{turbulent} c_p \left(\frac{dT}{dc}\right),$ (17..5)

since the locations of planes 1-1 and 2-2 are arbitrary.

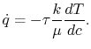
For the laminar region, the heat flux towards the wall is $ \dot{q}
=-kdT / dy$ and dividing by the expression for the shear stress, $ \tau=\mu dc/dy$ , yields

$\displaystyle \dot{q} = - \tau \frac{k}{\mu}\frac{dT}{dc}.$ (17..6)

The same relationship is applicable in laminar or turbulent flow if $ k/\mu=c_p$ or, expressed slightly differently,

$\displaystyle \frac{\mu c_p}{k} = \frac{\mu/\rho}{k/\rho c_p} =\frac{\nu}{\alpha} = 1,$ (17..7)

where $ \nu$ is the kinematic viscosity, and $ \alpha$ is the thermal diffusivity.

The quantity $ \mu c_p/k$ is known as the Prandtl number ($ Pr$ ), after the man who first presented the idea of the boundary layer and was one of the pioneers of modern fluid mechanics. For gases, Prandtl numbers are in fact close to unity and for air $ Pr = 0.71$ at room temperature. The Prandtl number varies little over a wide range of temperatures: approximately 3% from 300-2000 K.

We want a relation between the values at the wall (at which $ T =
T_w$ and $ c = 0$ ) and those in the free stream. To get this, we integrate the expression for $ dT$ from the wall to the free stream

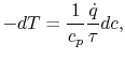
$\displaystyle -dT = \frac{1}{c_p}\frac{\dot{q}}{\tau}dc,$ (17..8)

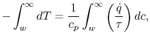
where the relation between heat transfer and shear stress has been taken as the same for both the laminar and the turbulent portions of the boundary layer. The assumption being made is that the mechanisms of heat and momentum transfer are similar. Equation (17.8) can be integrated from the wall to the freestream (conditions ``at $ \infty$ ''):

$\displaystyle -\int_w^\infty dT = \frac{1}{c_p}\int_w^\infty\left(\frac{\dot{q}}{\tau}\right)dc,$ (17..9)

where $ \dot{q}/\tau$ and $ c_p$ are assumed constant.

Carrying out the integration yields

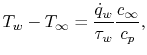
$\displaystyle T_w-T_\infty = \frac{\dot{q}_w}{\tau_w}\frac{c_\infty}{c_p},$ (17..10)

where $ c_\infty$ is the velocity and $ c_p$ is the specific heat. In Equation (17.10), $ \dot{q}_w$ is the heat flux to the wall and $ \tau_w$ is the shear stress at the wall. The relation between skin friction (shear stress) at the wall and heat transfer is thus

$\displaystyle \frac{\dot{q}_w}{\rho_\infty c_p (T_w-T_\infty)c_\infty} = \frac{\tau_w}{\rho_\infty c_\infty^2}.$ (17..11)

The quantity

$\displaystyle \cfrac{\tau_w}{\frac{1}{2}\rho_\infty c_\infty^2}$

is known as the skin friction coefficient and is denoted by $ C_f$ . The skin friction coefficient has been tabulated (or computed) for a large number of situations. If we define a non-dimensional quantity

$\displaystyle \frac{\dot{q}_w}{\rho_\infty c_p (T_w-T_\infty)c_\infty} = \frac{...
...o_\infty c_p (T_w-T_\infty)c_\infty} = \frac{h}{\rho_\infty c_p c_\infty} = St,$ (17..12)

known as the Stanton Number, we can write an expression for the heat transfer coefficient, $ h$ as

$\displaystyle h \approx \rho_\infty c_p c_\infty \frac{C_f}{2}.$ (17..13)

Equation (17.13) provides a useful estimate of $ h$ , or $ \dot{q}_w$ , based on knowing the skin friction, or drag. The direct relationship between the Stanton Number and the skin friction coefficient is

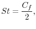
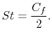
$\displaystyle St = \frac{C_f}{2}.$ (17..14)

The relation between the heat transfer and the skin friction coefficient

$\displaystyle \dot{q}_w \approx \frac{\tau_w c_p (T_w -T_\infty)}{c_\infty}$ (17..15)

is known as the Reynolds analogy between shear stress and heat transfer. The Reynolds analogy is extremely useful in obtaining a first approximation for heat transfer in situations in which the shear stress is ``known.''

An example of the use of the Reynolds analogy is in analysis of a heat exchanger. One type of heat exchanger has an array of tubes with one fluid flowing inside and another fluid flowing outside, with the objective of transferring heat between them. To begin, we need to examine the flow resistance of a tube. For fully developed flow in a tube, it is more appropriate to use an average velocity $ \overline{c}$ and a bulk temperature $ T_B$ . Thus, an approximate relation for the heat transfer is

$\displaystyle \dot{q}_w \approx \tau_w c_p \frac{T_B-T_w}{\overline{c}}.$ (17..16)

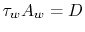
The fluid resistance (drag) is all due to shear forces and is given by $ \tau_w A_w = D$ , where $ A_w$ is the tube ``wetted'' area (perimeter $ x$ length). The total heat transfer, $ \dot{Q}$ , is $ \dot{q}_w A_w$ , so that

$\displaystyle \dot{Q} = D c_p \frac{T_B-T_w}{\overline{c}}.$ (17..17)

The power, $ P$ , to drive the flow through a resistance is given by the product of the drag and the velocity, $ D\overline{c}$ , so that

$\displaystyle \frac{\dot{Q}}{P} = \frac{c_p(T_B-T_w)}{\overline{c}^2}.$ (17..18)

The mass flow rate is given by $ \dot{m} = \rho \overline{c} A$ , where $ A$ is the cross sectional area. For a given mass flow rate and overall heat transfer rate, the power scales as $ \overline{c}^2$ or as $ 1/A^2$ , i.e.,

$\displaystyle P \propto \frac{\dot{Q}\dot{m}^2}{\rho^2 c_p(T_B-T_w)}\frac{1}{A^2}.$ (17..19)

Equations (17.18) and (17.19) show that to decrease the power dissipated, we need to decrease $ \overline{c}$ , which can be accomplished by increasing the cross-sectional area. Two possible heat exchanger configurations are sketched in Figure 17.5; the one on the right will have a lower loss.

Figure 17.5: Heat exchanger configurations
Image fig9LowLossHeatExchanger_web

To recap, there is an approximate relation between skin friction (momentum flux to the wall) and heat transfer called the Reynolds analogy that provides a useful way to estimate heat transfer rates in situations in which the skin friction is known. The relation is expressed by

$\displaystyle St = \frac{C_f}{2},$

or

$\displaystyle \frac{\textrm{heat flux to wall}}{\textrm{convected heat flux}}
= \frac{\textrm{momentum flux to wall}}{\textrm{convected momentum flux}},$

or

$\displaystyle \frac{\dot{q}_w}{\rho_\infty c_\infty c_p(T_\infty-T_w)} = \frac{\tau_w}{\rho_\infty c_\infty^2}.$

The Reynolds analogy can be used to give information about scaling of various effects as well as initial estimates for heat transfer. It is emphasized that it is a useful tool based on a hypothesis about the mechanism of heat transfer and shear stress and not a physical law.





Muddy Points

What is the ``analogy'' that we are discussing? Is it that the equations are similar? (MP 17.2)

In what situations does the Reynolds analogy ``not work?'' (MP 17.3)

UnifiedTP