Burt Rutan's White Knight and SpaceShip One, Photo Courtesy of Scaled Composites
Thermodynamics and Propulsion


13.2 Power Required

Now we can look at the propulsion system requirements to maintain steady level flight since

$\displaystyle T_{\textrm{req}} = D$    

and

$\displaystyle P_{\textrm{req}} = T_{\textrm{req}}V = DV.$    

$\displaystyle P_{\textrm{req}} = \frac{1}{2}\rho V^3 S C_{D_0} + \cfrac{W^2}{\cfrac{1}{2}\rho V S}\left(\frac{1}{\pi e AR}\right).$    

Thus the power required (for steady level flight) takes the form of Figure 13.3.

Figure 13.3: Typical power required curve for an aircraft.
Image fig4PowerRequired_web

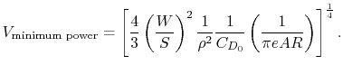
The velocity for minimum power is obtained by taking the derivative of the equation for $ P_{\textrm{req}}$ with respect to $ V$ and setting it equal to zero.

$\displaystyle V_{\textrm{minimum power}} = \left[\frac{4}{3}\left(\frac{W}{S}\r...
...}{\rho^2}\frac{1}{C_{D_0}}\left(\frac{1}{\pi e AR}\right)\right]^{\frac{1}{4}}.$    

As we will see shortly, maximum endurance (time aloft) occurs when the minimum power is used to maintain steady level flight. Maximum range (distance traveled) is obtained when the aircraft is flown at the most aerodynamically efficient condition (maximum $ C_L/C_D$ ).

UnifiedTP