2.25: Advanced Fluid Dynamics
Back to 2.25 Home | Back to Section 5
 Problem 5.19: Spark ignited spherical combustion


Back to Problem 5.19

Answer:

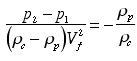
Let p1 be the pressure just ahead of the flame front—you can obtain an expression for it from Part (c)—and p2 just behind it,

, or in dimensionless form,