2.25: Advanced Fluid Dynamics
Back to 2.25 Home | Back to Section 5
 Problem 5.27: Centrifugal pump/turbine


Back to Problem 5.27

Answer 1B:

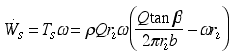
For b>0, power output is positive at 0<w <w0. The maximum power output,

,

is attained at w=w0/2.