Growth & Saturation
Sigmoid curves abound in describing population growth

From https://www.slideshare.net/JackieAndrews/population-dynamics-presentation
Logistic growth is the most natural model for population dynamics
![]()
![]()
Many variants of Generalized Logistic Growth are widely used (Covid-19 application)

What can justify a non-analytic growth law, as opposed to higher order analytic terms?
A statistical physics perspective on emergence of universal nonanalytic forms from critical phenomena:

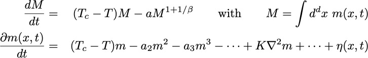
The measured quantity is typically the sum (average) of local populations distributed in space: 
Allowing for migration/dispersal/diffusion leads to a set of equations:

Stochasticity should be important, more so at the local level, sometimes terms
†
† (Ito interpretation of multiplicative noise)
Note that seascape noise (spatio-temporal growth fluctuations) is distinct from reproductive stochasticity (demographic noise):
Demographic noise leads to extinction via the Directed Percolation universality class [Janssen+Tauber (2005), ...]
Including both forms of stochasticity in real space with diffusion leads to:
†
The linear version (a=0) describes the evolving weight of directed polymers in random media (in the KPZ universality class).