![]() |
![]() |
|||||||
![]() |
||||||||
![]() |
![]() |
![]() |
![]() |
![]() |
![]() |
![]() |
||
![]() |
![]() |
![]() |
|
![]() |
![]() |
||||||
![]() |
![]() |
Problem 5.19: Spark ignited spherical combustion | ![]() |
![]() |
![]() |
![]() |
Back to Problem 5.19 | ![]() |
![]() |
![]() |
![]() |
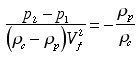
Answer: Let p1 be the pressure just ahead of the flame front—you
can obtain an expression for it from Part (c)—and p2
just behind it,
|
![]() |
![]() |