2.25: Advanced Fluid Dynamics
Section 1: Continuum viewpoint and the equation of motion
Section 2: Static Fluids
Section 3: Mass Conservation
Section 4: Inviscid flow - differential approach
Section 5: Control Volume Theorums
Section 6: Navier-Stokes equation and viscous flow
Section 7: Similarity and dimensional analysis
Section 8: Boundary layers, separation and effect on drag/lift
Section 9: Vorticity and circulation
Section 10: Potential flows; lift, drag and thrust production
Section 11: Surface tension and its effect on flows
Section 12: Introduction to turbulence
Back to 2.25 Home
|
Back to Section 5
Problem 5.26: Lawn Sprinkler
Back to Problem 5.26
Answer 1B:
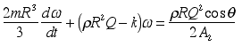
Equation:
Solution:
,
where
and
is given in answer to Part (a).