![]() |
![]() |
|||||||
![]() |
||||||||
![]() |
![]() |
![]() |
![]() |
![]() |
![]() |
![]() |
||
![]() |
![]() |
![]() |
|
![]() |
![]() |
||||||
![]() |
![]() |
Problem 5.27: Centrifugal pump/turbine | ![]() |
![]() |
![]() |
![]() |
Back to Problem 5.27 | ![]() |
![]() |
![]() |
![]() |
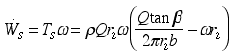
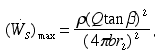
Answer 1B: For b>0,
power output is positive at 0<w
<w0. The maximum power output, is attained at w=w0/2. |
![]() |
![]() |