Casimir-Polder Interaction
Interaction between a small polarizable object and a surface:
"The Influence of Retardation on the London-van der Waals Forces,"
Observed from deflection of sodium atoms passing through a cavity
"Measurement of the Casimir-Polder force,"
C.I. Sukenik, M.G. Boshier, D. Cho, V. Sandoghdar, and E.A. Hinds, Phys. Rev. Lett. 70, 560 (1993)


How is the Casimir-Polder interaction modified near a gently curved surface?
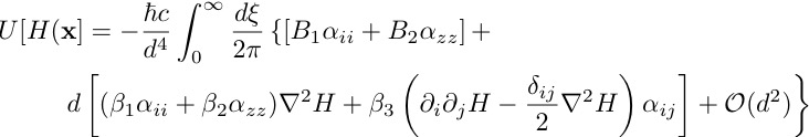
Allowing for a frequency-dependent polarizability tensor, such an expansion takes the form

Computation of the parameters
in the above expansion relies on two ingredients:
The general expression relating interaction of two objects to their electromagnetic scattering:
[
"Casimir forces between arbitrary compact objects," Emig, Graham, Jaffe & Kardar, PRL 99, 170403 (2007)]
Perturbative expression for EM scattering from a gently deformed surface:
[
"Small slope approximation for electromagnetic wave scattering at a rough interface of two dielectric half-spaces,"
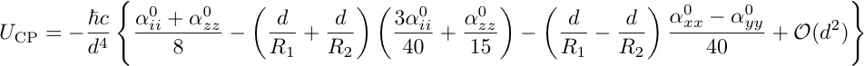
The point of closest proximity on the surface can always be characterized by two radii
,
![]()
and in the static limit, appropriate to short separations, we find

The leading Casimir-Polder interaction, depends on the trace of polarizability tensor, and is independent of the object's orientation.
Proximity to a curved surface can modifies the result, leading to torques and preferred alignments for an anisotropic particle.

"Casimir-Polder force between anisotropic anaoparticles and gentrly curved surfaces,"
G. Bimonte, T. Emig, and M. Kardar, Phys. Rev. D 92 , 025028 (2015)
The minimum energy configuration of the ellipsoid is either perpendicular, or aligned with a principal curvature axis of the surface.
The preferred alignment is sensitive to temperature, separation, and dielectric response, and may change with temperature.
Are molecules affected by proximity to a curved surface?![]()