Derivative Expansion
For a systematic approach for obtaining corrections to PFA,
"Proximity force approximation for the Casimir energy as a derivative expansion,"
C.D. Fosco, F.C. Lombardo, and F.D. Mazzitelli, Phys. Rev. D. 84, 105031 (2011)
proposed to regard the Casimir energy as a 'functional of the shape of the surfaces'


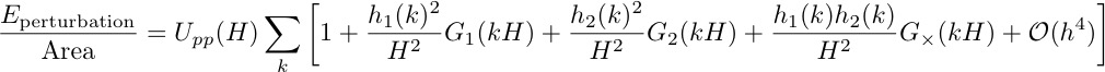
In the limit when h and its gradients are small, the above should match to the previous perturbative expansion,

allowing computation of the parameters
in the above derivative expansion.
For the Casimir energy between two spheres of different radii, this leads to

with
for the electromagnetic field constrained between perfect mirrors.
"Casimir forces beyond the proximity force approximation,"
G. Bimonte, T. Emig, R.L. Jaffe, and M. Kardar, Euro. Phys. Lett. 97, 50001 (2012)
These results were confirmed by exact asymptotic compuations for simple sphere/cylinder/plate geometries by
"Corrections beyond the proximity force approximation,"
L.P. Teo, M. Bordag, and V. Nikolaev, Phys. Rev. D 84, 125037 (2011); L.P. Teo, PRD 88, 045019 (2013)
'Dynamic' setups measure the derivative of the force with distance
"Measurement of the Casimir force between two spheres,"
J.L. Garrett, D.A.T. Somers, and J.M. Munday, Phys. Rev. Lett. 120, 040401 (2018)
In application to actual materials, (e.g. gold-plated surfaces) correction terms depend on the full EM response functions
"Material dependence of Casimir forces: gradient expansion beyond proximity,"
G. Bimonte, T. Emig, and M. Kardar, Appl. Phys. Lett. 100, 074110 (2012)
Unlike the PFA, corrections do not simply depend on the sum of the inverse radii

"Beyond-PFA Casimir force between two spheres at finite temperature,"
Where else can similar approaches be employed?![]()