Rotational spectra near curved surfaces
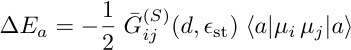
Energy levels of a molecule are modified by Casimir-Polder interactions with a nearby surface.
"Dynmics of thermal Casimir-Polder forces on polar molecules,"
S.A. Ellingsen, S.Y. Buhmann, and S. Scheel, Phys. Rev. A 79, 052903 (2009)
For rotational levels of a polar molecule (temperature, retardation, and surface dispersion can be ignored);
indicte components of the dipole moments, with the Hamiltonian
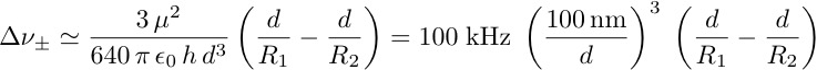
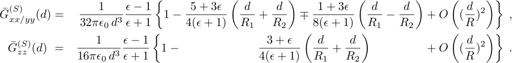
The static Green's functions near a gently curved surface are obtained purturbatively as
"Spectroscopic probe of the van der Waals interaction between polar molecules and curved surfaces,"
G. Bimonte, T. Emig, R.L. Jaffe, and M. Kardar, Phys. Rev. A 94, 022509 (2016)

Interaction with a flat surface removes the 3 fold degeneracy of the l=1 states.
"Direct measurement of the van der Waals interaction between an atom and its images in a micron-sized cavity,"
V. Sandoghdar, C.I. Sukenik, E.A. Hinds, and S. Haroche, Phys. Rev. Lett. 68, 3432 (1992)
Distinct radii of curvature lead to a further break in degeneracy, with