Mark Kac: Can one Hear the Shape of a Drum?
Can Casimir force measure the shape of a drum?
The Casimir Drum
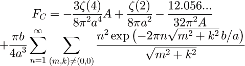
A drum/piston geometry, does not suffer from problems of infinities and cutoffs:

R.M. Cavalcanti, Phys. Rev. D 69, 065015 (2004) (Dirichlet and 2d)
M.P. Hertzberg, R.L. Jaffe, M. Kardar, and A. Scardicchio, Phys. Rev. Lett. 95, 250402 (2005).
When contributions from both sides of the partition are included,
the net force is found to be attractive.


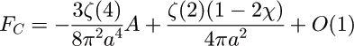
The expansion in height can be generalized to pistons of arbitrary cross-section
[using the density of states formulas of Balian & Bloch, Annals Phys. 60, 401 (1970)]


where χ depends on the 2-dimensional cross-section as

(α is the interior angle of each corner, and κ is the curvature of smooth sections)
Open boundaries?
