Non-equilibrium FIF
A simple off-equilibrium set-up involves objects at two different temperature, with a resulting heat current.
In the QED context, there is radiative heat transfer, and associated radiation pressure.

Note, that classical "blackbody" formulae break down at scales smaller than the thermal wavelength.
Breaking the law, at the nanoscale (MIT news, July 29, 2009)
"Surface Phonon Polaritons Mediated Energy Transfer between Nanoscale Gaps,"
S. Shen, A. Narayanaswamy, & G. Chen, Nano Lett. 9, 2909 (2009)
![]()
Heat transfer between plates diverges at short distances due to evanescent waves (tunneling).
A generalized scattering approach enables computation of Casimir forces, as well as radiation and heat transfer.
"Nonequilibrium Electromagnetic Fluctuations: Heat Transfer and Interactions,"
M. Krüger, T. Emig, and M. Kardar, Phys. Rev. Lett. 106, 210404 (2011)
Rytov (1959):
"Fluctuational QED"
Fluctuating currents in each object are related to its temperature by a fluctuation-dissipation condition:

The EM field due to thermal fluctuations of one object is related to overall Green's function by:

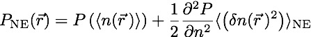
The overall fluctuations with many objects at different temperatures is then given by:

From EM correlations follow the stress tensor and the Poynting vector, hence forces and radiation.
Results for objects at different temperatures.
Some results for moving objects.
What if there is a fluid between the objects held at different temperatures?
"Giant Casimir Effect in Fluids in Nonequilibrium Steady States,"
T. R. Kirkpatrick, J. M. Ortiz de Zárate, and J. V. Sengers, Phys. Rev. Lett. 110, 235902 (2013):
Fluctuating hydrodynamics predicts long-range correlated temperature/density fluctuations;
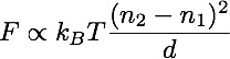
Pressure is locally argued to be:
Evaluating the non-equilibrium contributions to the fluctuations, they obtain a Casimir pressure
With Yariv Kafri, we have looked at a simpler example, involving the diffusing density field between
reservoirs at different chemical potentials, i.e. in the presence of a uniform current flow.

The presence of a current leads to large, position dependent, fluctuations in density.
We local pressure variations
Pressure fluctuations are different between plates, and outside plates, leading to a net force
The force can be attractive (hard core particles) or repulsive.
What is the FIF between compact objects immersed in the diffusing current?
Is there a FIF in active matter?
"Fluctuation-Induced Casimir Forces in Granular Fluids,"
C. Cattuto, R. Brito, U.M.B. Marconi, F. Nori, and R. Soto, Phys. Rev. Lett. 96, 178001 (2006)
"Nonadditivity of Fluctuation-Induced Forces in Fluidized Granular Media,"
M.R. Shaebani1, J. Sarabadani, and D.E. Wolf, Phys. Rev. Lett. 108, 198001 (2012)
