Anomalous wandering


red ball Consider a classical particle of mass m in a quantum bath

yellow ballLangevin equation for an otherwise free particle,

yellow ball In the commonly used Caldeira-Legget formalism, the force is linearly coupled to the bath,

However, a linear coupling is forbiddent for a neutral, but polarizable, particle.

yellow ball With linear coupling, a free field theory implies a Gaussian distribution for φ,

hence the force and the displacement are also Gaussian distributed, entirely described by the variance

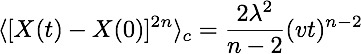
yellow ball For a neutral particle (no linear coupling), the quadratic force is not Gaussian distribute; leading to cumulants

consistent with a power-law probability distribution, reminiscent of Levy flights:

yellow ballPotential realizations for solitons in Bose-Einstein condensate.