Beyond Stephan-Boltzmann law
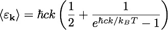
Planck spectrum:
leads to textbook results:
Stefan-Boltzmann law, isotropic radiation emitted by blackbody at temperature T

For two plates at different temperatures
Casimir force (at zero temperature)
Radiation Pressure exceeds the Casimir attraction if

For distances below this thermal wavelength (around 1.2 microns at room temperature),
"near-field effects" due to evanescent waves lead to non-textbook behavior.
"Surface Phonon Polaritons Mediated Energy Transfer between Nanoscale Gaps,"
S. Shen, A. Narayanaswamy, & G. Chen, Nano Lett. 9, 2909 (2009)
Breaking the law, at the nanoscale (MIT news, July 29, 2009)
![]()
Heat transfer between plates diverges at short distances due to evanescent waves (tunneling).
"Probing Planck’s Law with Incandescent Light Emission from a Single Carbon Nanotube,"
Y. Fan, S.B. Singer, R. Bergstrom, & B.C. Regan, Phys. Rev. Lett.102, 187402 (2009)

A generalized scattering approach enables computation of Casimir forces, as well as radiation and heat transfer,
in non-equilibrium steady states.
"Nonequilibrium Electromagnetic Fluctuations: Heat Transfer and Interactions,"
M. Krüger, T. Emig, and M. Kardar, Phys. Rev. Lett. 106, 210404 (2011)
Rytov (1959):
"Fluctuational QED"
Fluctuating currents in each object are related to its temperature by a fluctuation-dissipation condition:

The EM field due to thermal fluctuations of one object is related to overall Green's function by:

The overall fluctuations with many objects at different temperatures is then given by:

From EM correlations follow the stress tensor and the Poynting vector, hence forces and radiation.