Casimir Forces
Theory
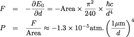
"On
the attraction between two perfectly conducting plates,"

Quantum fluctuations of electromagnetic field in the vacuum between leads to an attractive force between perfect mirrors
![]()
"The
Theory of Molecular Attractive Forces Between Solids,"
E.M. Lifshitz, Soviet Physics 2, 73 (1956),
Generalizes the result by considering fluctuating current sources in the bodies.
Experiment
The era of
high precision tests, made possible by advent of scanning microscopy:
"Demonstration of the Casimir Force in the 0.6 to 6µm Range," (using a torsion pendulum)
S.K. Lamoreaux, Phys. Rev. Lett. 78, 5 (1997)
![]()
"Precision Measurements of the Casimir Force from 0.1 to 0.9µm," (using atomic force microscopy)
U. Mohideen and A. Roy, Phys. Rev. Lett. 81, 4549 (1998) (offline)
Many other groups ....
Applications
Important in microelectromechanical systems (MEMS): micron-scale metallic machines

"Quantum Mechanical Actuation of Microelectromechanical Systems by the Casimir Force,"
H. B. Chan, V. A. Aksyuk, R. N. Kleiman, D. J. Bishop, Federico Capasso, Science 291, 1941 (2001)
![]()
Stiction due to the attractive Casimir force is a challenge to design and operation of MEMs
"The role of the Casimir effect in the static deflection and stiction of membrane strips in MEMS,"
F. Michael Serry, Dirk Walliser, and G. Jordan Maclay, J. Appl. Phys. 84, 2501 (1998)
"Stiction, adhesion energy, and the Casimir effect in micromechanical systems,"
E. Buks and M. L. Roukes, Phys. Rev. B 63, 033402 (2001)
Reducing/removing Casimir attraction is of technological value:
Can Casimir forces be weakened or made repulsive? [Scientific American]