Non-classical Heat Radiation & Transfer
Radiation Pressure from a hot-plate can in principle counteract Casimir attraction
cf. 

Around room temperature, this is for distances exceeding 7 microns; somewhat large for practical applications,
while at short separations "near-field effects" due to evanescent waves lead to non-classical behavior.
At short separations "near-field effects" due to evanescent waves modify classical "Stefan-Boltzmann" law:
"Probing Planck’s Law with Incandescent Light Emission from a Single Carbon Nanotube,"
Y. Fan, S.B. Singer, R. Bergstrom, & B.C. Regan, Phys. Rev. Lett.102, 187402 (2009)

"Surface Phonon Polaritons Mediated Energy Transfer between Nanoscale Gaps,"
S. Shen, A. Narayanaswamy, & G. Chen, Nano Lett. 9, 2909 (2009)
Breaking the law, at the nanoscale (MIT news, July 29, 2009)
![]()
Heat transfer between plates diverges at short distances due to evanescent waves (tunneling).
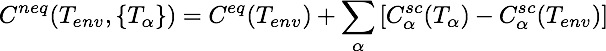
A generalized scattering approach enables computation of Casimir forces, as well as radiation and heat transfer,
in non-equilibrium steady states.
"Nonequilibrium Electromagnetic Fluctuations: Heat Transfer and Interactions,"
M. Krüger, T. Emig, and M. Kardar, Phys. Rev. Lett. 106, 210404 (2011)
Rytov (1959):
"Fluctuational QED"
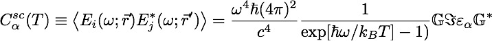
Fluctuating currents in each object are related to its temperature by a fluctuation-dissipation condition:

The EM field due to thermal fluctuations of one object is related to overall Green's function by:

The overall fluctuations with many objects at different temperatures is then given by:

From EM correlations follow the stress tensor and the Poynting vector, hence forces and radiation.
Emission from a single object (Sphere or Cylinder):

Emission is proportional to volume for small objects, crossing over to surface proportionality.
Emission from a cylinder is polarized (also switching as a function of size)
"Polarized light emission from individual incandescent carbon nanotubes,"
S. B. Singer, Matthew Mecklenburg, E. R. White, and B. C. Regan, Phys. Rev. B. 83, 233404 (2011)
"Thermalization of Heat radiation of an Individual Object Thinner than the Thermal Wavelength,"
C. Wuttke and A. Rauschenbeutel, Phys. Rev. Lett. 111, 024301 (2013)
Heat Transfer from a plate to a sphere (and other objects at proximity):
Breaking the law, at the nanoscale (MIT news, July 29, 2009)

Due to its "divergence" heat transfer is dominated by points of close proximity.


A "Proximity Transfer Approximation (PTA)" with "gradient correction" can by used to compute results for arbitrary smooth shapes at close proximity.