Scattering Approach to Casimir Force


Method

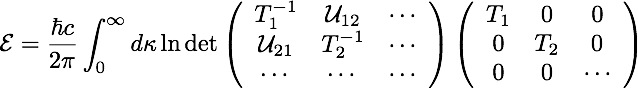
 Casimir force between multiple objects of different shapes and material properties can be related to scattering amplitudes of electromagnetic fields from individual bodies.

 "Scattering theory approach to electrodynamic Casimir forces,"

S.J. Rahi, T. Emig, N. Graham, R.L. Jaffe, and M. Kardar, Phys. Rev. D 80, 085021 (2009)


Results

  Shapes amenable to exact treatment of electromagnetic scattering:

 Plane, sphere, cylinder (circular, parabolic, elliptic), wedge, cone, ...

  Interior/Exterior: Can deal with objects inside one another

  Babinet Principle: Relating scattering and force from screens and aperatures.

  Finite size/Edge effects: Role of boundaries and their interactions.

  Earnshaw's Theorem: Constraints on stable equilibrium.