Two DPRMs
Consider two non-interesecting DPRMs navigating the same energy landscape:

The non-crossing condition can be implemented by considering the two paths as world-lines of fermions:
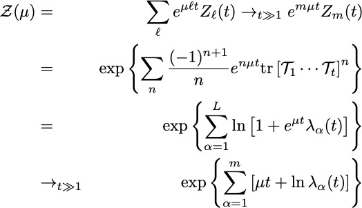
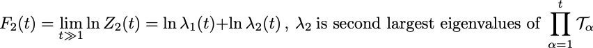
Occupation of the top 2 "energy levels" gives:
=_lim_t_gg.jpeg)
![]()
Reduction in F_2 due to the non-crossing constraint (L=512):


Few DPRMs
&=&_s.jpeg)
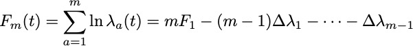
This pattern continues for multiple non-crossing paths.

=_sum_a=1^.jpeg)
Similar scaling is observed for the differences between means of the top "energy differences"

