One DPRM
For 1 DPRM the partition function is computed by summing over all directed paths, as
=_sum_rm_d.jpeg)
=_lim_t_gg.jpeg)
From past work on DPRM, we expect
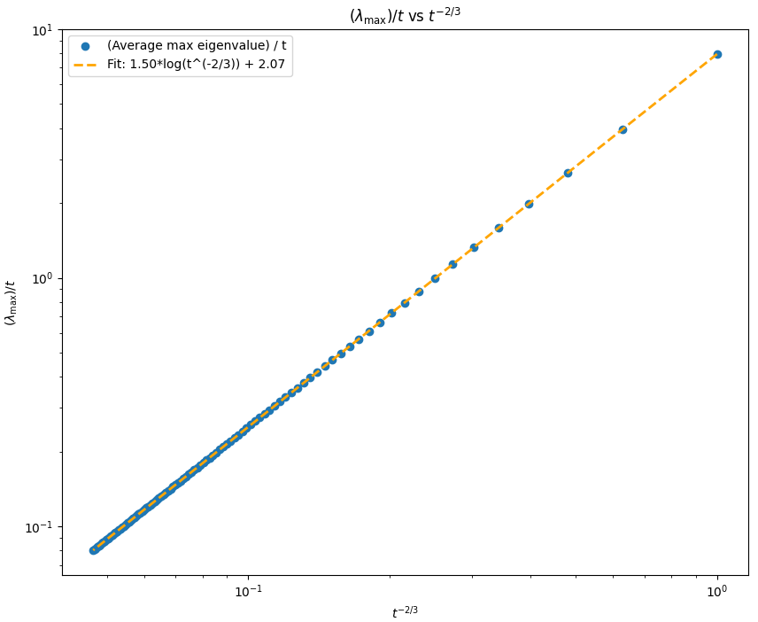
Test of scaling of F_1 for L=32:

Distribution of fluctuations of F_1 (for L=128) [TW for beta=1]
_evolution-32 (dragged).png)
(similar distributions for second and third eigenvalues)