Affinity Maturation with Multiple Antigens
Consider a set of Antigens (Ags) sharing a small conserved element, with distinct larger variable components.
Affinities of BCR to the distinct variable parts of the Ags are indicated by
and the common (conserved) part by
,
in terms of which the assigned fitnesses to single Ags are:

If s Ags are presented simultaneously in the germinal center, we assume a BCR fitness of
=_1_-1.jpeg)
The overall amplitude is reduced by the number s (for fair comparison between schemes),
Due to frustration the fitness is reduced by an amount that increases with s .
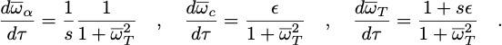
Subject to the approximations used for the case of a single Ag, maturations of the different affinities proceed as:

Assuming initial values of at most order of
, the solution to the above equations give
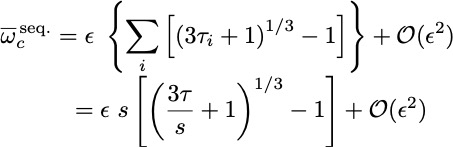
![]()
Simultaneous presentation of a cocktail of s variant Ag over a "time" τ leads to
![]()
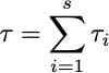
Sequential immunization of the same variant Ag over times
results in

Within this set of approximations, sequential administration leads to larger optimal affinity
Additionally the yield of antibodies is larger as many more B cells survive due to lack of frustration.
