Affinity Maturation

Antibody maturation occurs takes place in Germinal Centers formed in lymph nodes:

Computational Model:

 

The processes of (hyper)mutation/competition/selection lead to rapid Population Evolution:

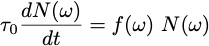
Trait ω confers a fitness f(ω)   to   N(ωindividuals in a mixed population

Fitness f(ω)  then governs reproduction rates according to                 

Population means  are defined by                                                  

Mean fitness evolves (in the absence of mutations) as                            

green bullet Roland Fisher's Fundamental Theorem of Natural Selection

Including the possibility of mutations, the mean value of a trait, such as the affinity ω, evolves as

green bullet George Price's Equation:                                              

To use the  equations in Affinity Maturation, we need to describe the dependence of fitness on affinity,

and process of mutations.