Fitness of B cells in Germinal Center
The mutating B cell Receptor (BCR) binds to spikes of presented virus:

B cell attempts to pull in and digest the virus, with one or both hands:

Successful capture depends on the density of spikes.
Successful B cells compete for survival/replication signals from helper T cells.
The reproductive fitness of B cells depends on affinity ω, and spike density n, which we model as:
![]()
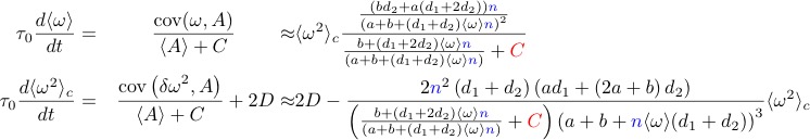
Approximating the affinity distribution by a Gaussian, application of the Price Equation leads to

The agent based simulations, as well as integration of the above equations lead to consistent results
on dependence of the affinity of emerging antibodies on density n and T cell help C :

Optimal affinity is achieved at target (spike) density of less than ~1 per area spanned by the BC:
too few targets at low density to be productive,
too many targets at high density to be competitive.