Entropic force on a Polymer
Many current experiments employ Atomic Foce Microscopy to measure forces required to unravel specific (mostly bio-) polymers.
What is the entropic force on a uniform (phantom or self-avoiding) polymer?

Deminsional analysis suggests:
Work done in moving the tip (with polymer attached) away from the surface is
- 
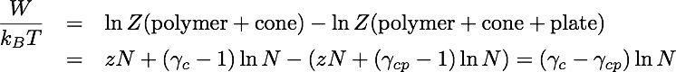
This work can be related to the difference in free energies, as

Comparing the two expressions yields
![]()