Adsorption to edge of a wedge
A polymer can be adsorbed to the attractive edge of a repulsive wedge:

For a phantom polymer, this problem can be mapped into a quantum particle in a potential:

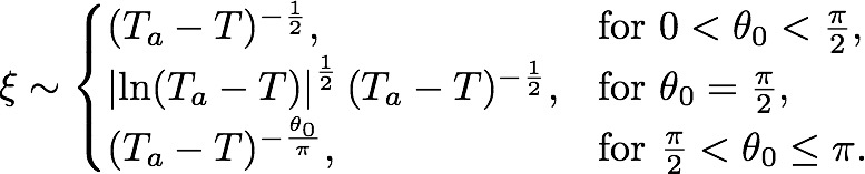
Exact solution of the quantum problem leads to angle dependent critical behavior, e.g. for the localization length

What about a self-avoiding polymer in d=3?