Introduction
Sigmoid curves abound in describing population growth

From https://www.slideshare.net/JackieAndrews/population-dynamics-presentation
Logistic growth is the most natural model for population dynamics
![]()
![]()
Many variants of generalized logistic growth (Covid-19 application)

(Roland) Fisher's equation allows for migration of a population distributed in space:
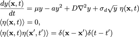
Stochasticity in birth/death events leads to demographic noise:
Leads to extinction via the Directed Percolation universality class [Janssen+Tauber (2005), ...]
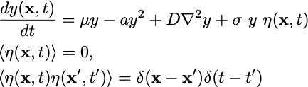
Another form of stochasticity is from environmental fluctuations, causing fitness variations, termed
†
The linear version (a=0) describes the evolving weight of directed polymers in random media (in the KPZ universality class).
Including both forms of stochasticity leads to:
†
† (Ito interpretation of multiplicative noise)