Mean Field Approach
Fitness landscapes in biology are often over a discrete (sequence, traint, or niche) space (not Euclidean)

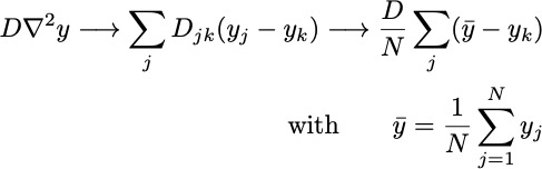
The mean-field limit is obtained by considering the complete graph
![]()
![]()
While
are random variables (distributions), in the large N limit
is a number, leading to

[Van den Broeck+Parrondo+Amero+Hernandez-Machado (1994); ....]
[J.-P. Bouchaud & M. Mezard, Physica A 282, 535 (2000)] [Munoz, Colaiori, Castellano, PRE 72, 056102 (2005)]
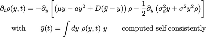
The probability distribution functions for evolve according to the Fokker-Planck equation

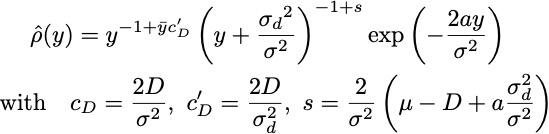
The (unnormalized) steady-state solution has the form [PRE 102, 052106 (2020)]
_=_y^-.jpeg)
A combination of power-laws with cutoffs at small and large values.