Neutral (on average) Fitness
Stochasticity is paramount in the neutral case with μ = a = 0

For D = 0 demographic and seascape noise lead to very different outcomes:
Demographic stochasticity draws in the distribution to (a delta-function at) the absorbing state y=0
Seascape fluctuations leads to a log-normal distribution with variance of log(y) growing or decaying (linearly) in time.
For D ≠ 0 (first taking N →∞) migration from the mean of population acts as a source that counteracts absorption to y=0
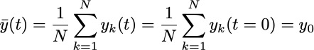
remains fixed to initial value.
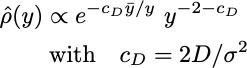
For demographic noise, this leads to a steady state
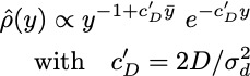
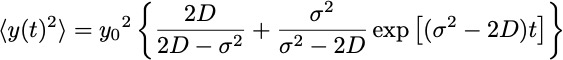
While for seascape fluctuations, the steady state is
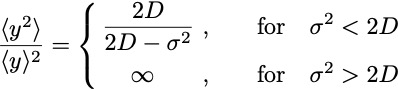
The power-law tail of the distribution for seascape fluctuations can lead to broad distributions:


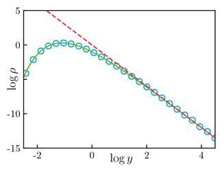
Steady-state is somewhat of a misnomer as the power-law tail forms and extends over time, such that
^2_ra.jpeg)