Growth on a seascape

 Variations at each node are governed by time-scales from growth, migration, and noise

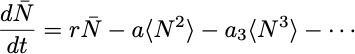
 However, variations of the mean   take the simpler form

Assuming that the growth rate is always sufficiently slow to allow for a quasi-static state, such that

  ,

provides a route to obtain the empirical Richards growth equation for sufficiently strong seascape stochasticity

Numerical simulations [D. Swartz, B. Ottino-Loffler, M. Kardar, PRE 105, 014417 (2022)] support this conclusion

 The anomalous scaling of population variance with mean is known in ecology as

  relating the scaling of variance of population to its mean (in space of time).

 A potentially testable link between local population distributions, and a global growth exponent.


 

 

 

 

 

 

 Numerical simulation of time evolution of the population density

                                     

 Results of numerical simulations in one dimension:

and two dimensions: