Phases of the model
Coexistence of "all" species requires sufficiently large spatio-temporal noise.


To gain some understanding of this phase behavior, replace the random sum
with the number ![]()
With this assumption, the coupled equations reduced to independent forms:
![]()
![]()
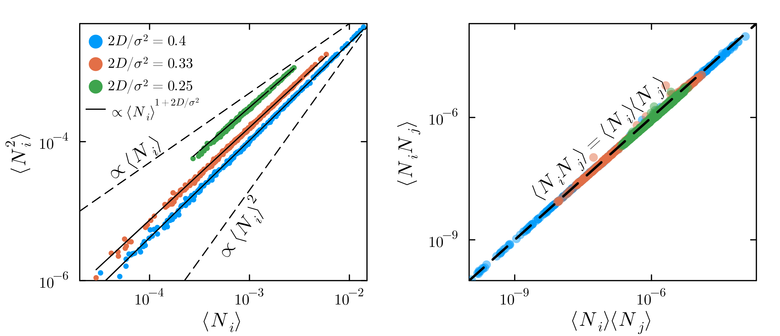
We already encountered the corresponding steady distribution of the above, and can check against numerical results:

Check for the stability of a given set of average populations
:

The above approximations suggest:
:

This is supported by simulations:

How this modifies May's instability argument?

In the limit of large
, we find
, and linear stability analysis yields:

Eigenvalues remain negative and stable coexistence is possible for
