Equilibrium Pressure & Fluctuation-Induced Force
Particles: Pressure is a function of state.

Force per unit area of the wall is a bulk property;
independent of the shape of the container and potentials at the wall
independent of the dynamics of the particles (momentum integrations)
For a dilute gas:
(non-universal corrections)
Radiation: Photon density is temperature dependent:

Stefan-Boltzmann law of black-body pressure:
![]()
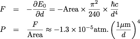
Casimir Force: Virtual photons (QED fluctuations) at low temperatures:
"On the attraction between two perfectly conducting plates," H.B.G. Casimir, Proc. K. Ned. Akad. Wet. 51, 793 (1948)

Quantum fluctuations of electromagnetic field in the vacuum between leads to an attractive force between perfect mirrors
![]()
"The Theory of Molecular Attractive Forces Between Solids," E.M. Lifshitz, Soviet Physics 2, 73 (1956),
Generalizes above by considering fluctuating current sources in the bodies, and at finite temperatures.
"Pressure" =>"Interaction"; Force per unit area of the wall is
Attractive
Strongly dependent on the shape of the container
Since 1995 confirmed in myriad experiments.
Particles: Thermal fluctuation-induced forces emerge when inter-particle forces lead to large correlation lengths.
(
is needed for long-range, as opposed to short-range "depletion" forces.)
Finite-size corrections for free energy confined between plates take a universal form at criticality
M.E. Fisher and P.-G. de Gennes, C. R. Acad. Sci. Ser. B 287, 207 (1978)


Experimental confirmation of force in critical oil/water mixture. [measurement, lateral force]
Hertlein, Helden, Gambassi, Dietrich & Bechinger, Nature 451, 172 (2008)
Long-range correlations lead to long-range (universal) fluctuation-induced interactions.